ГлавнаяНаукаЕвгений Андрианов из МФТИ провел прорывное исследование квантовой термодинамики

Евгений Андрианов из МФТИ провел прорывное исследование квантовой термодинамики

Дата:

Поделиться:

Вызов законам тепла в квантовой реальности

Евгений Андрианов из МФТИ провел прорывное исследование квантовой термодинамики-0
Источник: naked-science.ru

Одно из фундаментальных устоев нашего мира – второе начало термодинамики – предписывает теплоте перетекать исключительно от горячих объектов к холодным. Именно этим принципом объясняется остывание вашего утреннего кофе и определяется направление времени. Однако в уникальном мире квантовой физики, среди атомов и электронов, привычные правила теряют свою безусловность. Здесь на первый план выходят специфические квантовые характеристики, открывающие путь к удивительным эффектам.

Как работают сложные квантовые связи

Представим открытую квантовую систему – миниатюрный объект, взаимодействующий с несколькими масштабными внешними средами («резервуарами»). Каждый такой резервуар располагает индивидуальной температурой и ключевым параметром – химическим потенциалом. Этот потенциал действует как термодинамический «двигатель», определяющий тенденцию частиц к перемещению между областями, подобно электрическому напряжению.

Преодолевая классические запреты

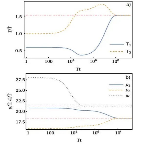
Второе начало накладывает суровые ограничения, выражаемые неравенством Клаузиуса, которое категорически предотвращает обратный поток тепла от холодного к горячему в простых двурезервуарных системах. Российские исследователи поставили смелую цель: выяснить, способны ли сложные системы с тремя и более источниками создать условия, где самый холодный резервуар временно отдает энергию наиболее горячему при поддержке других связей.

Раскрытие сенсационного явления

Благодаря разработанной математической модели и точным расчетам потоков энергии и частиц, ученые подтвердили существование необычного режима. В нем наиболее холодный элемент системы действительно временно охлаждается сильнее, передавая энергию более горячим соседям, которые при этом нагреваются. Фактически происходит впечатляющее временное усиление холода вопреки классическим ожиданиям.

Путь к термодинамической гармонии

После фазы временного «сверх-охлаждения» система перестраивает свои внутренние потоки энергии. Холодный резервуар начинает нагреваться, достигая в итоге общего теплового равновесия со всеми участниками. Интересно, что конечная температура совокупной системы превышает любую из начальных значений резервуаров, поскольку на равновесие повлияли не только температуры, но и уникальные химические потенциалы.

Объяснение оптимизма от эксперта МФТИ

Евгений Андрианов, ведущий специалист МФТИ, комментирует открытие с энтузиазмом: «Наше исследование открывает невероятное явление. В сложной квантовой среде с разными потенциалами система осуществляет гениальный маневр: временно использует энергию потока частиц для запуска ‘аберрации тепла’ – движения от холодного объекта к горячему. Хотя общее равновесие неизбежно, сам путь к нему таит в себе удивительные нелинейности и служит маякантом новейших возможностей». Эта работа служит удивительной иллюстрацией настройки квантовой динамики и подчеркивает революционность подхода российских физиков.

Источник: naked-science.ru